Institute Quantum Phenomena in Novel Materials
Strongly correlated electrons
For a full list of publications of our institute click here.
Discovery of charge order in a cuprate Mott insulator
Copper oxide superconductors universally exhibit multiple forms of electronically ordered phases that break the native translational symmetry of the CuO2 planes. In underdoped cuprates with correlated metallic ground states, charge/spin stripes and incommensurate charge density waves (CDWs) have been experimentally observed over the years, while early theoretical studies also predicted the emergence of a Coulomb-frustrated ‘charge crystal’ phase in the very lightly doped, insulating limit of CuO2 planes. Here, we search for signatures of CDW order in very lightly hole-doped cuprates from the 123 family RBa2Cu3O7 − δ (RBCO; R: Y or rare earth), by using resonant X-ray scattering, electron transport, and muon spin rotation measurements to resolve the electronic and magnetic ground states fully. X-ray scattering data taken on Pr-doped YBCO thin films reveal an in-plane CDW order that follows the same linear evolution of wave vector versus hole concentration as oxygen-underdoped YBCO but extends all the way to the insulating and magnetically ordered Mott limit.
M Kang, CCZhang, E Schierle, S McCoy, J Li, R Sutarto, A Suter, T Prokscha, Z Salman, E Weschke, S Cybart, JYT Wei, R Comin, PNAS 120 (2023) e2302099120
Prevailing charge order in overdoped La2-xSrxCuO4 beyond the superconducting dome
The extremely overdoped cuprates are generally considered to be Fermi liquid metals without exotic orders, whereas the underdoped cuprates harbor intertwined states. Contrary to this conventional wisdom, using Cu L3-edge and O K-edge resonant x-ray scattering, we reveal a charge order (CO) correlation in overdoped La2−xSrxCuO4 (0.35 ≤ x ≤ 0.6) beyond the superconducting dome. Our results suggest that CO is
prevailing in the overdoped metallic regime and requires a reassessment of the picture of overdoped cuprates as weakly correlated Fermi liquids.
Q Li, HY Huang, T Ren, E Weschke, L Ju, C Zou, S Zhang, Q Qiu, J Liu, S Ding, A Singh, O Prokhnenko, DJ Huang, I Esterlis, Y Wang, Y Xie, Y Peng, Phys Rev Lett 131 (2023) 116002, OA version
Tuning strategy for Curie-temperature enhancement in the van der Waals magnet Mn1+xSb2-xTe4
The van-der-Waals antiferromagnetic topological insulator MnBi2Te4 is one of the few materials that realize the sought-after quantum anomalous Hall (QAH) state and quantized surface charge transport. To assess the relevance of its isostructural analog MnSb2Te4 as a potential QAH candidate, the roles of Mn/Sb site mixing and cationic vacancies need to be clarified. Here, we report the crystal structure, the bulk and the surface magnetism of two new Mn1+xSb2−xTe4 samples. We quantify the site mixing comprehensively by combining various structural probes on powders and single crystals, and then employ bulk, local (electron spin resonance), and spectroscopic (x-ray magnetic circular dichroism) probes to connect these insights to the magnetism of these materials.
M Sahoo, MC Rahn, E Kochetkova, O Renier, LC Folkers, A Tcakaev, ML Amigó, FM Stier, V Pomjakushin, K Srowik, VB Zabolotnyy, E Weschke, V Hinkov, A Alfonsov, V Kataev, B Büchner, AUB Wolter, JI Facio, LT Corredor, A Isaeva, Mater Today Phys 38 (2023) 101265
Dynamic electron correlations with charge order wavelength along all directions in the copper oxide plane
In strongly correlated systems the strength of Coulomb interactions between electrons, relative to their kinetic energy, plays a central role in determining their emergent quantum mechanical phases. We perform resonant x-ray scattering on Bi2Sr2CaCu2O8+δ, a prototypical cuprate superconductor, to probe electronic correlations within the CuO2 plane. We discover a dynamic quasi-circular pattern in the x-y scattering plane with a radius that matches the wave vector magnitude of the well-known static charge order. Along with doping- and temperature-dependent measurements, our experiments reveal a picture of charge order competing with superconductivity where short-range domains along x and y can dynamically rotate into any other in-plane direction. This quasi-circular spectrum, a hallmark of Brazovskii-type fluctuations, has immediate consequences to our understanding of rotational and translational symmetry breaking in the cuprates.
F Boschini, M Minola, R Sutarto, E Schierle, M Bluschke, S Das, Y Yang, M Michiardi, YC Shao, X Feng, S Ono, RD Zhong, JA Schneeloch, GD Gu, E Weschke, F He, YD Chuang, B Keimer, A Damascelli, A Frano, EH da Silva Neto, Nature Communications 12 (2021) 597 
A topological insulator with magnetic gap closing at high Curie temperature
Ferromagnetic topological insulators exhibit the quantum anomalous Hall effect, which is potentially useful for high-precision metrology, edge channel spintronics, and topological qubits. The stable 2+ state of Mn enables intrinsic magnetic topological insulators. In this work, p-type MnSb2Te4, previously considered topologically trivial, is shown to be a ferromagnetic topological insulator for a few percent Mn excess. Moreover, a critical exponent of the magnetization β ≈ 1 is found, indicating the vicinity of a quantum critical point. Remaining deviations from the ferromagnetic order open the inverted bulk bandgap and render MnSb2Te4 a robust topological insulator and new benchmark for magnetic topological insulators.
S Wimmer, J Sánchez-Barriga, P Küppers, A Ney, E Schierle, F Freyse, O Caha, J Michalicka, M Liebmann, D Primetzhofer, M Hoffmann, A Ernst, MM Otrokov, G Bihlmayer, E Weschke, B Lake, EV Chulkov, M Morgenstern, G Bauer, G Springholz, O Rader, Adv Mater 42 (2021) 2102935 
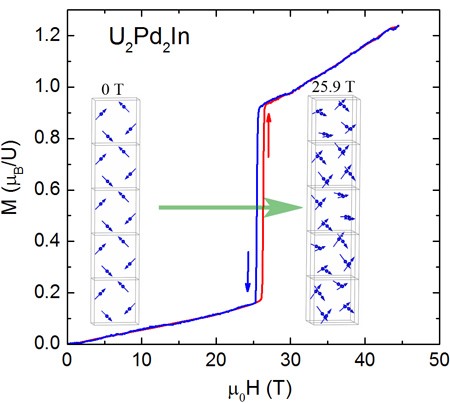
Noncollinear magnetic structure in U2Pd2In at high magnetic fields
We report an unexpected magnetic-field-driven magnetic structure in the 5f-electron Shastry-Sutherland system U2Pd2In. This phase develops at low temperatures from a noncollinear antiferromagnetic ground state above the critical field of 25.8 T applied along the a-axis. All U moments have a net magnetic moment in the direction of the applied field, described by a ferromagnetic propagation vector qF = (0 0 0) and an antiferromagnetic component described by a propagation vector qAF = (0 0.30 1/2) due to a modulation in the direction perpendicular to the applied field. This noncollinear magnetic structure is due to a complex competition between the single-ion anisotropy, the Dzyaloshinskii-Moryia interaction, and the external magnetic field.
K Prokeš, M Bartkowiak, DI Gorbunov, O Prokhnenko, O Rivin, P Smeibidl, Phys. Rev. Research 2 (2020) 013137 
see also the associated Science Highlight Report





